全站仪导线测量,无论您使用的是科力达智能全站仪,还是KTS-442462472491系列全站仪,原理都相通的。今天,我们继续学习全站仪导线测量之计算,扎实基础,进阶技能。
导线计算的起始数据是已知点坐标和已知坐标方位角,观测数据为观测角值和观测边长。计算结果是导线点的平面坐标。
通常情况下,导线平差应进行严密平差,但对于二级及其以下等级的图根导线允许对单一导线、单结点导线网采用近似平差的方法进行计算。
导线近似平差的基本思路是:将角度误差和边长误差分别进行平差处理——先进行角度闭合差的分配,再进行坐标闭合差的分配,通过调整坐标闭合差,达到处理角度剩余误差和边长误差的目的。
在进行导线测量平差计算之前,首先要按照规范要求对外业观测成果进行检查和验算,确保观测成果无误并符合限差要求。
平面控制点坐标计算的基本内容有:坐标方位角的推算、坐标反算和坐标正算。
一、坐标方位角的推算
坐标方位角:从平行于坐标轴纵轴的北端顺时针旋转至某直线的水平角为该直线的坐标方位角,方位角的角值范围在0°~360°之间。

正反坐标方位角:
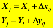
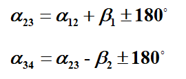
根据一条已知边方位角和观测的已知边与未知边之间的水平角,来推算未知边方位角称为坐标方位角的推算。已知边AB 的方位角为αAB ;为求观测边Ap的方位角αAp ,在A点测量出AB与Ap的水平夹角β。根据方位角的定义(从轴北方向开始,顺量),结合图3容易得到:αAp = αAB + βA。计算结果大于360o时须减去360o ,如下图4。利用αAP = αAB + βA推算方位角需注意, βA是“左角”,即站在起点(角顶A)、面向终点(前进方向的未知点p )时,位于观测者左手边的角度。左角也可理解为“从已知边顺转至未知边的水平角”。如果观测的水平角不是左角而是“右角”(即位于前进方向右边的角度,或从已知边逆转至未知边的水平角),如下中图中的βA ,则应按下式推算未知边的方位角:αAp = αAB - βA。根据已知边1-2的方位角和观测的水平角β,推算2-3边的方位角,可以分成两步进行计算:1)根据1-2的方位角求2-1的方位角:α21= α12±180°;2)根据2-1边的方位角和观测的水平角β ,求2-3边的方位角:α23= α21+β,若观测的β为右角时:α23= α21-β;合起来就有:α23= α21±β=α12±β±180°。例如:在下图中,A、B为已知点,1、2、3为待测的未知点。已知αAB =152° 32′50 ” ,各转折角分别为:92° 25′58 ” ,107° 50′30 ” ,126° 43′12 ” ,试推算2-3 的方位角。=152° 32′50" + 92° 25′58" ±180° =244° 58′48" ±180°=-42° 51′42" ±180° =137°08′18 " ∴ α23= α12+ β3 ±180°= 83°51′30 " 根据两个已知点的坐标来推算这两个点之间的水平距离和坐标方位角的工作称为坐标反算。注意:方位角的角值范围为0~360°,而反正切的范围为-90°~+90°,要注意转换。如果对反正切取绝对值,则计算的角度为象限角,如下图所示,然后再根据坐标增量的符号判断观测边所在的象限,进而将象限角转换为坐标方位角。例如:已知A、B的坐标分别为(3846.24,576.34)、和(3584.77, 295.13),求AB的边长和方位角。根据已知点的坐标以及该点至某未知点的水平距离和方位角,推算该未知点坐标的工作称为坐标正算。如下图所示,i点为已知点,观测得ij的水平距离D,计算得ij的坐标方位角为αij,计算未知点j的坐标:例如:已知A点的坐标为(100.000,100.000),AB的边长为98.236m,方位角为120 °24 ′30 ″,求B点的坐标。例如:下图中A、B两点的坐标分别为:(200.000,200.000)、(120.654、207.296),观测角为120°57′24″,观测距离为100.378m,求C点坐标。例如:下图中M、N两点的坐标分别为:(362.279、274.368)、(417.243、200.497),观测角为267°47′13″,观测距离为98.243m,求P点坐标。2)根据各导线边的坐标方位角和边长,计算坐标增量;按照支导线的计算方法计算各点的坐标,但是计算的终点坐标与已知的终点坐标之间存在一定差值,称为坐标闭合差:坐标闭合差是由于测角、测距误差引起的,它的存在使得计算的终点与已知终点不重合,两者之间的距离称为导线全长闭合差:导线全长闭合差的大小除与测角、测距的精度有关之外,还与导线的长度有关,所以衡量坐标闭合差是否满足要求的量是导线全长相对闭合差,它是导线全长闭合差与导线长度的比值:注:只有导线全长相对闭合差满足限差要求时,测量成果才是合格的。改正坐标闭合差的方法:按导线各边长度成比例地改正它们的坐标增量,其改正数为:改正后导线点坐标的计算:利用起始点坐标及改正后坐标增量推算各导线点坐标。方位角闭合差满足限差要求时,测角成果才是合格的,否则应检查原因进行重测。方位角闭合差的调整:反号平均分配给各角,余数给短边的邻角。只有角度闭合差满足限差要求时,测角数据才是可用的、有效的,否则应检查测角的成果,并进行重测。角度闭合差的改正——反号平均分配,余数分给短边的邻角。计算检核:方位角由闭合导线的第一条边经过一圈推算再计算回第一条边时,计算的数值应和已知值相等。注意:由已知方位角推算闭合导线各边的方位角时,需用到连接角,即图9中的∠BA1。由于连接角没有参与到闭合导线角度闭合差的计算中,而一旦连接角出现问题,将导致整个导线发生旋转。所以,在实际测量过程中,对连接角应观测左右角,用左右角之和为360°进行检核,合格后对闭合差进行配赋,再推算方位角。坐标增量闭合差的计算:由于闭合导线的起点与终点相同,所以1)导线的布设形式:闭合导线、附合导线、支导线和导线网。
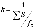
▷计算纵、横坐标增量闭合差和导线全长相对闭合差K,并进行坐标增量调整。③附和导线计算步骤与闭合导线相同,只是角度闭合差及纵、横坐标增量闭合差的计算公式不一样。